고효율 태양전지에 대응
셀 검사 시스템 개발
유럽에서 협력처 검토
共進電機(京都市 下京區, 사장 小島久嗣)는 모듈 베이스에서 20% 이상이라는 고효율의 차세대 태양전지용 셀 검사 시스템을 개발했다. 측정방식을 産業技術總合硏究所와 공동으로 개발했다. 유럽 메이커에서 주류인 펄스 방식을 채용하면서 일본 국내 메이커가 채용하는 정상광(正常光) 방식과 같은 수준의 안정성을 실현했다. 일본 내외 메이커의 연구개발용도로 판매함과 동시에 양산 라인용 시스템의 상품화를 확인한 협업처도 유럽 시장 등을 중심으로 탐색한다.
개발한 것은 「KSX-3000H」로 고효율 태양전지 셀의 변환효율을 50밀리초의 단일 펄스로 정확하게 측정할 수 있다는 것이 특징이다. 종래의 경우, 300밀리초 정도의 펄스가 필요하다고 알려져 있다. 아울러 의사태양광으로서 전지에 조사하는 빛의 안정성도 전원제어를 최적화함으로써 플러스마이너스 0.1% 이하로 억제하여, 동 1% 정도의 변동이 있는 종래의 펄스 방식의 약점을 극복했다.
또 일본 메이커에서는 정상광에 의한 측정이 주류인데, 태양전지의 효율이 올라감과 동시에 전지표면의 온도상승에 의한 오차가 확대되어 장시간 조사에 의한 램프와 과학 필터의 교환 원가 증가도 과제가 되었다.
共進電機는 측정 시스템의 테스터에서는 실적이 있지만, 광원까지 포함한 시스템의 참여는 2년 전인 2011년에 시작했다. 판매실적은 아직 얼마 되지 않지만 동 3000H의 투입으로 차세대 전지용에서 선행하여 주도권을 쥘 계획이다.
얼마 전 해외영업부도 발족하여 태양전지에서 선행하고 있는 유럽 시장 등에 촉구하여 메이커뿐 아니라 제3자 기관에서의 채용도 목표로 하고 있다. 또 복수 셀로 구성한 모듈의 검사 시스템에서는 유럽의 광원 메이커와의 협업을 시야에 두고 있다. 일간공업
빛을 고에너지 변환
九大 태양전지 고효율로
九州大學 大學院 工學硏究院의 君塚信夫 주간교수 등 연구팀은 저에너지의 빛을 고에너지의 빛으로 변환하는 기능을 가진 「포톤 업 컴버젼 액체」를 개발했다.
이 액체는 광에너지를 수송하는 기능을 가진 발광성 분자로 만들었다. 빛의 에너지끼리 액체 속에서 충돌과 이동을 반복하면서 보다 높은 에너지로 변환된다. 이러한 기술은 이전부터 알려져 있었다. 이 액체를 사용하면 종래의 고휘발성 용매는 필요치 않다. 공기 중에서도 이용할 수 있다.
저에너지의 근적외광을 활용할 수 있기 때문에 태양전지의 고효율화가 가능하게 된다. 박막화하기 쉬우며 플렉스블한 기재 제품에도 응용 가능하다. 君塚信夫 주간교수는 “광촉매와의 복합화로 태양광을 사용한 수소생성 등 여러 가지 산업 분야에 대한 활용을 기대할 수 있다.”고 말했다.
태양광 발전설비 설치
滋賀縣과 기본 합의
교세라와 교세라 TCL솔라(東京都 千代田區)는 滋賀縣과 태양광 발전 설비의 설치에 대해 기본 합의를 했다. 공유수면매립으로 생긴 矢橋歸帆島(滋賀縣 草津市)의 약 9만 9970평방미터의 미(未)이용지에 교세라가 제작한 태양전지 모듈 약 3만 4000장을 설치하여 연간 발전량은 약 850만 킬로와트 시(時)로, 일반 가정 2000세대 분량의 연간 전력 소비량에 상당한다고 한다.
교세라와 東京센튜릴리스가 공동 출자하는 교세라TCL솔라가 운영관리를 맡는다. 발전소의 설치 시공과 유지관리 등은 교세라 그룹 회사가 담당한다. 2014년 8월에 착공하여 2015년 9월 가동을 목표로 한다. 발전전력은 전력회사에 매전한다. 사업기간은 매전 개시부터 20년으로 하였다. 일간공업
태양광 패널용 청소로봇 사업참여
심포니아테크놀로지
심포니아테크놀로지는 태양광 패널 청소 로봇 사업에 참여한다. 분사 노즐로 세정수를 뿌리고, 회전 브러시와 와이퍼로 청소하는 자율주행형 로봇을 개발했다. 세정 능력은 매시 100평방미터로 운반 가능하다. 비슷한 로봇에 자율주행형은 드물다. 가격은 100만 엔 이하를 상정. 태양광 패널은 먼지, 물 때, 모래 등으로 표면이 더러워져 발전효율이 최대 약 5% 저하될 우려가 있다. 따라서 자동청소에 대한 요구가 높아질 전망이다. 메가솔라(대규모 태양광 발전소)용 등의 수요를 전망한다.
개발한 로봇은 세정수 탱크를 탑재하고 고무크롤러로 주행한다. 등판(登板) 능력은 5-30도. 패널 사이 간격 50밀리미터까지 주행을 실현, 플러스마이너스 30밀리미터의 단차를 넘을 수 있다. 카메라 화상으로 표면의 백선을 확인하고, 각종 센서로 위치 검출, 보정을 실시하여 낙하 등을 방지한다. 패널 상부에서부터 순차적으로 청소한다. 유도선 등의 궤도는 필요치 않다.
사이즈는 세로 530밀리×가로 700밀리미터×높이 173밀리이며 중량은 15킬로그램이다. 리튬이온전지로 6시간 구동한다. 무선기능을 탑재하여 퍼스널컴퓨터 등으로 세정수와 전지잔량을 원격 감시할 수 있다. 전원을 꺼도 메모리로 위치를 보존, 전지교환 후에 원래 있던 위치부터 청소를 재개한다.
실증실험을 시작하여 올 봄부터 발매할 계획이다. 자회사에서 태양광발전사업자에 대한 보수, 관리 사업을 하고 있어 그 판로를 활용하는 이외에 대리점 판매 등을 검토하여 연간 300대 규모를 목표로 한다. 발전효율이 최대 약 5% 저하하면 1메가와트 당 연간 약 100만 엔의 손실이 일어날 가능성이 있다. 샤프 등도 청소로봇을 개발하고 있다. 일간공업
집광형 태양광 발전기술 관련 글로벌 동향보고서

비용은 지속적으로 떨어지고 있으며, 수요는 상승하고 있다. 그리고 기술은 급속도로 진화하고 있으나 시장에서의 불확실성은 확실히 존재한다. 이러한 기술은 과연 무엇일까? 바로 태양광 발전기술이다.
우리가 2007년에서 2008년 태양광 발전시장에서 경험을 하였듯이 오늘날 집광형 태양광 발전시장에서도 같은 현상을 경험하고 있는가? 그것은 분석가가 집광형 태양광 발전기술의 폭넓은 진보와 발전이 이뤄졌음을 보여주는 증거로서 제안하고 있는 질문이다. 사실 집광형 태양광 발전기술은 수요적인 측면에서 급성장을 경험하고 있으며, 비용 역시 급속도로 줄어들고 있다.
2007년과 2008년 초 태양광 발전시장은 중대한 기술개발과 수익성이 올리고자 그리고 자금 조달을 받기 위해 고군분투하는 기업들에게 발생하는 수많은 불확실성으로 설명될 수 있다고 Kal Melkonyan 분석가는 말하였다.
그는 독일의 IHS에서 일하는 태양광 전문 분석가이다. 비록 태양광 발전설비 제조와 지역별 설치에 있어 리더(leaders)들이 존재한다 하더라도 2008년 태양광 발전산업은 증가된 수요와 가격 하락으로 인해 획기적인 성과를 올리고 있다고 그는 설명하였다.
유사하게 집광형 태양광 발전기술은 매우 빠르게 성장하고 있다. 왜냐하면, 태양광 발전기술이 후퇴하고 있기 때문이다. 과거 몇 개월만에 우리는 태양전지(Soitec社, Solar Junction社)와 태양광 모듈(Semprius社, Amonix社)에 있어 최근 기록적인 성장을 볼 수 있었다. 뿐만 아니라, 여러 가지 개선들이 집광형 태양광 발전시스템에서 이루어지고 있다. 또한, 집광형 태양광 발전기술이 가지고 있는 온도 상승의 문제도 감소되었으며, 태양광 모듈에서 케이블링(cabling)까지 집광형 태양광 발전설비를 통해 가는 송전과정을 감소시키고 트랙커(tracker)를 최적화하고 있다.
불확실이라는 측면에서 우리는 집광형 태양광 발전시장이 2000대 후반 태양광 발전시장과는 완전히 다르다는 것을 볼 수 있었다. SolFocus社는 올 가을에 문을 닫았으며, GreenVolts社는 ABB社의 자금조달을 잃게 되었다. Amonix社도 라스베가스(Las Vegas) 발전소를 폐쇄하였으며, Suncore社는 Zenith Solar社를 인수하였다. 그리고 Soitec社는 보다 새롭게 거대한 샌디에이고 공장을 강화하기 위해 독일 공장을 폐쇄하였다. 수익성이 있는 상태로 만들기 위해 집광형 태양광 발전 기업들은 운영의 장기적 지속성과 제품 및 프로젝트의 설치 등에 대한 투자자들의 확신을 기반으로 판단하고자 한다고 Melkonyan 연구원은 말하였다. 그리고 그는 보험이나 성과에 대한 보증 등을 획득하는 것도 도움이 될 것이라고 말하였다. 올 가을 Soitec社는 독일의 Munich RE社를 통해 집광형 태양광 모듈에 대한 성능/보증 보험을 제안하기 시작하였다.
자체적으로 볼 때 집광형 태양광 발전기술의 수요는 2000년대 후반 태양광 발전기술에 비해 상당히 낮은 편이다. IHS는 향후 몇 년 동안 급증하게 될 집광형 태양광 발전설비 설치량은 2013년 160MW에서 2020년 1.3GW 이상으로 성장할 것이라 관측하고 있다. 그리고 매년 두 배 이상 증가할 것이라고 예상하고 있다. Melkonyan 연구원에 따르면, 프로젝트들 중 반 이상이 IHS의 2014년과 2015년 설치에서 배정을 받았다고 한다. 다섯 개의 벤더(vendors: 협력업체) 기업들(Soitec社, Suncore사, Silex社, Semprius社, 그리고 Amonix社) 각각은 2015년 말 수백 MW의 설치량을 자랑하게 될 것이다. 이들 다섯 개 기업과 함께 중소규모의 기업들도 집광형 태양광 발전기술 설치용량 증가에 기여하게 될 것이다.
아직 집광형 태양광 발전기술 분야에서는 많은 양의 활동이 존재하고 있다. Soitec社는 남아프리카와 중국에 수MW 규모의 집광형 태양광 발전소를 확대하고 있는 중이며, 포르투갈(Portugal), 사우디아라비아(Saudi Arabia), 그리고 미국 등에 소규모 파일럿 프로젝트들을 진행한다고 바쁜 날을 보내고 있다. Suncor社는 이와 유사한 크기의 프로젝트를 수행하고 있다. 그리고 SunPower社는 네바다(Nevada) 주, 리노(Reno)에 데이터 센터를 운영하기 위해 18~20MW 규모의 집광형 태양광 발전소를 건설하고자 하는 Apple社 계획의 일환을 수행하고 있다. GTB
InP 나노와이어 태양전지
일본의 연구원들은 300~570nm의 짧은 파장 영역에서 벌크 InP 기반 소자의 성능에 비해 향상된 내부 양자 효율 (IQE)을 가진 인듐 포스파이드 (InP) 나노 와이어 (NW) 태양 전지를 개발했다.
InP 나노 와이어들은 간단한 p-형 도핑 프로파일을 가진다. 광전 접합은 투명 전극으로 인듐 주석 산화물 (ITO)의 증착으로 만들어졌다. p-InP/n-InP 접합보다 단지 p-InP를 가진 나노 와이어들을 성장시킴으로써, 연구원들은 이 공정이 더 조절 가능하고, 제작 비용 측면에서 훨씬 효과적이라고 말했다.
p-형 InP 나노 와이어들은 p-형 InP 기판 상에서 선택 영역 금속-유기 증착상 에피텍시 (SA-MOVPE)를 이용하여 성장되었다. 선택 영역 마스크는 1.2mm×1.2mm 영역에서 400nm 피치 (pitch)의 삼각형 배열 내 200nm 직경 구멍들을 가지고 패턴된 20nm 실리콘 이산화물로 구성된다. 마스크 내 구멍 밖으로 나노 와이어들을 성장시킨 후, 이 나노 와이어들은 다우 화학에서 개발한 스핀-코팅된 벤조사이클로부텐 (BCB)으로 덮였다.
ITO는 나노 와이어 끝이 BCB 후면 식각으로 노출된 후, RF 스퍼터되었다. U 형 금속 전극들은 ITO 상에 은과 기판 후면 금-주석으로 구성되었다. 이 소자의 유효 면적은 0.62㎟였다. 이 영역은 소자의 지형 영역의 약 18%를 채운 4.5×106 나노 와이어들을 포함하고 있다.
연구원들은 투명 전도층으로 ITO의 증착 과정이 묻힌 n+/p 단일 접합을 가진 표면 근처 n+ 결합 영역을 형성한다고 믿고 있다.
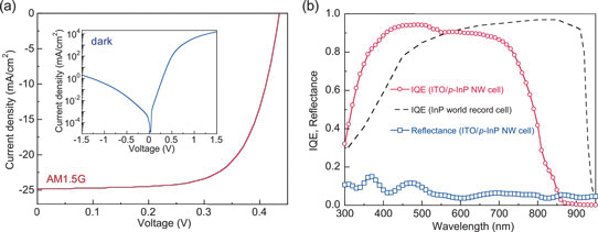
AM1.5G 태양 조사 하에서, 개방회로 전압 (Voc) 은 0.436V, 단락 회로 전류 밀도 (Jsc) 는 24.8 mA/cm2, 필팩터 (fill factor, 최대 전력 밀도/Voc x Jsc)가 0.682였으며 전체 전력 전환 효율은 7.37%였다. 평면 ITO/InP 태양 전지들은 18.9% 효율을 달성했다.
연구원들은 소자의 활성 영역의 82%가 와이어들 사이의 빈공간인 것을 고려하여 NW 배열 기반 소자에 대한 높은 Jsc가 근거리 장 광학 향상 흡수와 무반상 효과의 결합에 기인한 것으로 믿고 있다. 비록 무반사 코팅이 없지만, 이 소자는 겨우 6.2%의 유효 반사도를 가졌다.
IQE의 조사는 400~750nm 영역에서 80 % 이상의 값을 가졌다. 짧은 파장들에서 IQE는 이전에 보고된 InP NW 태양 전지보다 훨씬 높고, 소자는 전면 ITO 층을 향해 움직이는 소수 전하들을 반사시키기 위해 윈도우 층을 이용하지 않고 490 nm에서 0.943의 피크 IQE를 얻었다.
300~570 nm 영역의 IQE는 평면 InP 구조의 최고 기록과 비견되었다. 연구원들은 줄어든 표면 재결합과 광발생 전하들의 개선된 분리와 포획 결과라고 말했다. 이 감소 재결합은 넓은 밴드갭 ITO 윈도우 층에 의해 소수 전하 반사 때문이다. 더 효율적인 분리/포획은 ITO 형성 반구형 구조들에 의해 나노 와이어의 측면 상에서 형성되는 접합에 의한 것이다.
연구원들은 500nm보다 짧은 파장을 가장 광이 InP 나노와이어의 300 nm 깊이 내에서 흡수된다고 계산했다. 긴파장/낮은 에너지 쪽의 흡수 끝부분은 벌크 InP의 925 nm 밴드갭에서 870 nm로 청색 이동했다. 고분해능 투과 전자 현미경(HR-TEM)의 선택 영역 전자 회절 (SAED) 패턴들은 벌크 InP에서 흔한 징크블렌드 (zincblende) 구조보다 약 80meV 넓은 밴드갭을 가진 부르자이트 (wurzite) 구조를 가진다는 것을 보여주었다. 더 넓은 밴드갭은 흡수 끝부분을 청색쪽을 이동시킨다. GTB

그림 1. (a) p-InP NW 배열의 20도 기울어진 주사 전자 현미현 (SEM) 이미지. (b) NW의 상부 SEM. (c) ITO/p-InP 이종접합 NW 태양 전지의 측면 SEM.

그림 2. (a) AM1.5G 하에서 ITO/p-InP NW 전지의 조사된 전류-전압 (J-V) 특성. 삽입도: 반로그 크기의 암 J-V 특성. (b) ITO/p-InP NW 전지의 IQE와 반사도. 포함된 것은 세계 최고의 평면 InP 전지의 IQE이다.
태양전지를 위한 최적화된 나노종이
투명하고 플렉서블한 기판은 플렉서블 전자소자를 위해 폭넓게 조사되고 있으며 연구원들은 종이처럼 쉽게 인쇄될 수 있는 열적으로 안정하고 생분해성의 물질 개발을 위한 기술을 연구해 오고 있다. 예를 들어, 작년 매릴랜드 대학 리앙빈 후 박사의 연구그룹에 의해 투명하고 플렉서블한 나노종이 트랜지스터가 개발되었다.
새로운 연구에서, “Novel Nanostructured Paper with Ultra-high Transparency and Ultrahigh Haze for Solar Cells”라는 제목으로 나노레터스 지에 후의 연구팀이 태양전지에 최적화된 새로운 투명 종이 기판 디자인을 보고했다. 연구원들은 초고 투과도 (~98%)와 초고 광 혼탁도 (~60%)를 동시에 가진 풍부한 나노 섬유로 만들어진 새로운 투명 종이를 소개했다. 연구원들은 태양 전지 소자 상에서 투명한 종이의 단순한 라미네이션이 이 종이의 광 투과도와 광 산란에 의해 10~20%까지 소자의 효율을 증가시킬 수 있다는 것을 보였다.
디스플레이와 터치스크린이 고선명과 저 광 혼탁성이 필요함과 함께 태양 전지 내로 연결된 투명 기판에서 주로 최대화된 특성이다. 이는 현재 일반적인 기판이 디스플레이에 매우 잘 어울리지만 태양 전지 소자에는 최적화되지 못한다. 연구원들은 고 광 투과성과 고 광 혼탁성 모두를 가진 나무 셀룰로오스 물질을 기반으로 한 새로운 종이를 개발했다.
투명 혼탁성은 광전 소자에 대하여 중요한 광학 특성이고 투과된 모든 광에서 투명 표면을 통해 확산적으로 산란된 광의 정도와 관련이 있다. 더 높은 투명 혼탁성 태양 전지의 광흡수 효율을 향상시킨다. 종이 물질의 새로운 광학 특성은 태양 전지 성능을 개선하기 위한 기본적인 광-관리 전략을 가능케 한다. 광투명도는 종이 두께 감소로 조금씩 증가되지만 투명 혼탁도는 종이 두께 증가로 증가된다. 다른 응용들을 위한 기판으로 광 혼탁성과 투과성의 결합은 요구된 결과들의 미세한 조정을 가능케 한다.
연구원들은 이 투명 종이조각을 간단하게 붙여 유기 태양 전지를 만들고 5.34에서 5.88%까지 증가된 전력 전환 효율 (PCE)을 관찰했다. 또한, 인성과 강도와 같은 종이의 기계적인 특성은 다양한 응용들을 위해 중요하다.
연구팀은 소나무에서 특별히 처리된 펄프를 만들어 투명 종이를 제조했다. 이 펄프는 물에 희석되고 얇은 코팅으로 건조되었다. 이 투명 종이는 나노크기 섬유로 만들어진 나노종이에 비해 훨씬 더 큰 광 투과성을 보이지만 비슷한 두께를 가진 종이를 처리하기 위해 훨씬 더 적은 에너지와 시간이 걸린다.
이런 저가이며 고도로 투명하고 흐려지는 종이가 태양 패널, 태양 지붕, 혹은 태양 창 등 광전 응용들에 대하여 광포획 특성을 증가시키는 훌륭한 필름으로서 사용될 수 있다. 또한, 외부 GPS와 같은 밝은 주위에서 작동하는 디스플레이와 미세유체 소자들에서 사용하는 것을 볼 수 있을 것이다.
연구팀의 다음 단계는 확장된 방법으로 투명 종이 내 연결되는 소자들과 안정성 문제들을 해결하는 것이다. GTB

그림. (a) 일반 종이와 (b) 투명 종이의 상부 SEM 이미지들. 삽입그림은 크기 바가 100 μm인 투명 종이의 확대된 SEM 이미지이다. (d) 두 일반 나무 섬유와 (e) 두 TEMPO 산화 나무 섬유의 상호슬라이딩 MD 시뮬레이션 모델.
중국, 새로운 태양광소재
태양광전지(solar cells)는 기존의 화석에너지를 대체하여 에너지 환경문제를 해결할 수 있는 전망을 가지고 있기에 전세계의 인정을 받을 뿐만 아니라 또한 적극적으로 추진되고 있다. 그러나 현재까지 태양광전지의 광전기 변환효율(photoelectric conversion efficiency)이 여전히 높지 않는 것이 현실이다. 광전기 변환효율에 영향이 미치는 요소는 주로 3가지인데, 이는 (1) 광의 흡수, (2) 광생성(photogenerated) 전자-양공 쌍(electron-hole pairs)의 분리와 수송 및 (3) 전하의 수집이다.
태양광소재(photovoltaic materials)는 태양광전지의 핵심부분이다. 그러므로 태양광전지의 광전기 변환효율을 향상시키는 주요한 경로는 태양광소재가 광에 대한 흡수를 제고시키는 것과, 광생성 캐리어(photo-generated carriers)의 복합을 억제하는 것이다. 하지만 이 양자를 실현하기 위한 연구는 주로 에너지띠(energy band)의 조절에 집중되어 있다. 어떻게 에너지띠 위치에 적합한 새로운 태양광소재를 제조하는 것은 여전히 현재 진행되고 있는 연구의 어려운 점이며 주요 연구대상이다.
최근 중국과학원 상해규산염연구소 Fu-qiang Huang 연구원이 이끌고 있는 광전기 전환재료와 부품 연구과제팀과 북경대학교(Beijing University) 화학학부는 합작하여 황동광(chalcopyrite) 구조인 전지재료 CuInS2와 CuGaS2에 대해 In/Ga 위치에서의 Sn의 첨가를 합리적으로 진행하였고 밴드갭(band gap, 띠간격) 중부에 반-충전된 중간 에너지띠(energy band)를 성공적으로 도입[Sn이 첨가된 CuGaS2 밴드갭은 1.8eV로 감소되었지만 흡수범위는 1.0eV로, 즉 근적외 구역까지 연장되었으며 Sn이 첨가된 CuInS2 박막은 밴드갭을 1.0eV로 감소]시켰고 소규모 에너지(small energy) 광자전이(photon transition)의 발판으로서 재료광학 밴드갭이 태양스펙트럼(solar spectrum)이 호응하는 범위의 제한을 극복하여 VBM vs. CBM, VBM vs. IB, IB vs. CBM 3개 광자가 전자전이를 여기시키는 통로를 실현하였다. 따라서 대부분의 태양광 스펙트럼을 포괄하는(cover) 호응을 실현하여 광전류를 대폭 제고시켰으며 전지 전환효율을 대폭 높일 전망이 있다.
이 협력팀은 제어중심 이온배위장에 기반하여 재료 밴드갭 폭의 감소를 실현하였고 일종의 새로운 좁은 밴드갭 강유전성(ferroelectric) 태양광소재인 KBiFe2O5를 탐구하고 제조하였다. 팔면체장(octahedral field)에 비해 사면체장(tetrahedral field)은 비교적 작은 갈라짐 에너지(splitting energy)를 가지고 있고 따라서 재료의 밴드갭 폭도를 효과적으로 감소시킬 수 있다.

샘플구조는 사면체 배위체인 사면체층이 사슬연결을 통해 형성된 3차원 골격구조이고 밴드갭 폭은 1.59eV로서 현재까지 이미 알고 있는 고온 다강체(multiferroic)재료에서 밴드갭 폭도가 가장 좁은 것이다. 고유의 분극전계(polarization field)의 존재로 말미암아, 광생성 캐리어의 복합율을 효과적으로 감소시켜 샘플한 현저한 광전지호응(photovoltaic response)을 나타냈으며 재료 밴드갭 제한을 돌파하는 광생성 전압이 생성되었는데 전압은 8.8V에 달하였고 광생성 전류는 이미 알고 있는 최적의 강유전 태양광소재의 성능보다 높다.
이 연구결과의 의미는 일종의 새로운 중간층(intermediate zone) 태양광전지 소재의 제조에 성공하였고 넓은 스펙트럼 호응 및 광전류의 향상을 실현하였다. 그리고 강유전 태양광소재에서 구조로 밴드갭 폭을 제어하는 가상을 실현하여 차세대 제어가능한 미세구조 및 광전기 변환효율이 높은 새로운 태양광전지의 개발을 위해 새로운 아이디어를 제공하였다.
이 연구는 중국 국가자연과학기금 프로젝트, 국가 863 프로젝트, 중국과학원 혁신프로젝트 및 중국과학원 B 유형의 선도프로젝트의 지원과 지지를 받았다. GTB
그림 1. Sn이 첨가된 CuGaS2 나노과립과 Sn이 첨가된 CuInS2 박막의 에너지띠 설명과 광역 스펙트럼 흡수도

그림 2. KBiFe2O5의 결정체 구조, 분극온도 호응과 실온자기 호응, 스펙트럼 흡수와 광전기 호응도
三菱化學, 유기태양전지 실용화
「빌딩 유리창 발전」실증 서두른다.
박막형, 다케나카(竹中)등과 협력
발전효율의 향상이 과제로
三菱化學이 2015년도 양산을 목표로 하는 유기박막 태양전지를 사용한 실증실험이 본격화되기 시작했다. 首都高速道路는 요요기(代々木) 파킹에리어(東京都 澁谷區)의 휴게시설 창문을 이용한 실증 실험을 개시했다. 竹中工務店은 실내에 들어오는 햇빛을 조정하는 날개판의 수광 면에 유기박막 태양전지를 부착한 루바의 실증실험에 들어갔다. 지금까지 불가능했던 고층빌딩의 창문을 이용한 태양광 발전으로 수요 증가를 전망할 수 있는 만큼 발전성능과 강도향상과 같은 실용화에 필요한 기술 개발이 실증을 통해 진행되게 된다.
유기박막 태양전지는 유기반도체 재료를 플라스틱이나 금속 등의 얇은 기판에 도포하여 제조한다. 투명한 쉬 필름에 도포하면 두께가 1밀리미터 이하로 얇고 가벼워서 접을 수 있어 빛을 투과하는 태양전지 작성이 가능하다. 고층빌딩의 표면적 대부분을 차지하는 수직면에서 태양광 발전이 가능하게 되어 북향 이외의 빌딩 창에 설치하면 25층짜리 빌딩에서 일반가정 약 200채 분량의 전력을 발전할 수 있을 전망이다.
竹中工務店이 기술연구소(千葉縣 印西市)에서 2012년 10월에 실증실험을 시작한 것은 유기계 태양전지 일체형 루바. 수광면에 三菱化學의 유기박막 태양전지를 부착한 날개모양의 가늘고 긴 판(날개판)을 블라인드처럼 평행으로 늘어놓았다. 고층빌딩의 창문에 설치하면 발전과 동시에 일사량을 제어하여 냉방 부하의 원인이 되는 과잉된 빛을 억제할 수 있다.
지난해는 실내쪽에 루바를 설치하고 발전량을 최적화하는 실험을 실시했다. 외부환경에 견딜 수 있는 구조나 재료의 사양을 결정하여 옥외 실험을 실시했다.
한편 과제도 남아 있다. 빛을 전기로 바꾸는 에너지 변환효율이 결정 실리콘형 태양전지 패널의 경우 15-20%인데 대해, 유기박막태양전지는 대형 모듈 제품이라도 약 5%. 三菱化學은 이미 크기 5밀리미터 사방의 시작품으로 11.7%을 달성했으나 2015년도에 대형 모듈 제품으로 10% 이상을 목표로 하는 기술혁신이 요구된다.
이밖에도 빌딩의 디자인을 방해하지 않는 의장성, 태풍 등의 큰비나 강풍에 견딜 수 있는 구조, 설치 원가 절감 등 사업화를 위해 넘어야 할 난제가 남아 있다.
三菱化學의 유기박막 태양전지를 사용한 실증실험은 首都高速道路나 竹中工務店 이외의 장소에서도 작년부터 실시하고 있다. 그러나 독일의 헤리아테크, 東レ 등도 고효율의 유기태양전지 개발에 속도를 내고 있다. 그런 만큼 최종제품 메이커와 연대하여 제품화를 위한 기술을 얼마나 빨리 개발할 수 있는가가 관건이다.
일간공업
기사를 사용하실 때는 아래 고유 링크 주소를 출처로 사용해주세요.
https://www.cerazine.net